1. Из каких элементов может состоять диаграмма состояний и переходов? 1 балл

2. Дана диаграмма состояний и переходов (см. ниже) простого переключателя. Ниже представлены переходы из одного состояния в другое. Выбери неправильный(ые) переход(ы) относительно предложенной схемы: 1 балл

state_transition_2

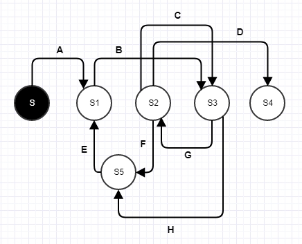
3. Дана диаграмма состояний и переходов (см. ниже). Выбери тестовый сценарий, который покроет следующий ряд состояний и переходов S-S1-S2-S3-S1-S2-S3-S4: 1 балл

state_transition_3

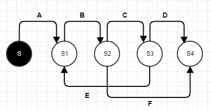
4. Дана следующая диаграмма состояний и переходов. Выбери самый короткий тестовый сценарий для покрытия всех состояний: 1 балл

state_transition_4

5. Дана диаграмма состояний и переходов и построенная на ее основе таблица с тестовыми сценариями. Изучи диаграмму и таблицу. Все ли тестовые сценарии описаны верно? Если в тестовых сценариях нет ошибок, в поле напиши слово "нет" (без кавычек). Если есть одна ошибка, то в поле напиши номер сценария, где встретилась ошибка, например "666" (без кавычек). Если ошибки встретились в нескольких местах, то в поле напиши номера сценариев через запятую, например "666,777" (без кавычек): 1 балл

state_transition_5_1 state_transition_5_2